第11版:生活
3上一版  下一版4
 
电动车严禁进楼入户
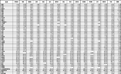
北京市48种生活必需品价格监测表
“四个做好”紧抓安全生产工作
 
版面导航
 
3上一期  下一期4
3上一篇  下一篇4 2021年5月14日 放大 缩小 默认        

北京市48种生活必需品价格监测表

采集日期:2021年5月12日单位:元/斤
(以上信息由北京市职工物价监督总站提供)
 

 
3上一篇  下一篇4  
   


主办:劳动午报社 运营管理:劳动午报社 版权所有©2013-2014 技术开发:正辰科技
地址:北京市丰台区东铁营横七条12号 邮编:100079
ICP备案:京ICP备20012564号-1 京公网安备11010602200849号

 

关闭